Kembali Klasifikasi LULC · Hutan Pendidikan (KHDTK) UNISMUH
Hutan Pendidikan (KHDTK) · UNISMUH Makassar
Metode Klasifikasi Tutupan Lahan (LULC) Berbasis Random Forest & Google Earth Engine

Laporan ini mendokumentasikan metodologi klasifikasi tutupan lahan (Land Use/Land Cover) di kawasan Hutan Pendidikan (KHDTK) UNISMUH, menggunakan supervised Random Forest classifier yang dijalankan melalui Google Earth Engine API. Analisis mencakup 540 titik training dari 7 kelas tutupan lahan, 15 band spektral Sentinel-2 + 5 indeks spektral, serta validasi meliputi spatial block CV, bootstrap CI, dan Olofsson accuracy.

01 · Training Data
Distribusi & Kelas Sampel

Sebanyak 540 titik training dikumpulkan dari citra Sentinel-2 dan diverifikasi secara manual (onkultasi Google Earth, NDVI profiling). Titik tersebar di atas 7 kelas tutupan lahan utama kawasan KHDTK UNISMUH.

# Kelas Jumlah Titik Deskripsi
1 Dense Forest 48 Hutan lebat primer, kanopi tertutup, NDVI > 0.65
2 Sparse Forest 87 Hutan jarang / hutan sekunder
3 Shrubland 173 Semak, vegetasi terbuka, tegakan muda
5 Agriculture 62 Lahan pertanian, sawah, ladang
6 Bare Land 74 Lahan terbuka, tanah telanjang, pasca panenan
7 Water Body 62 Sungai, waduk, genangan air
8 Built-up 34 Permukiman, jalan, infrastruktur
Peta Sebaran Titik Training
Gambar 1. Peta lokasi distribusi titik sampel training di kawasan KHDTK UNISMUH.
Distribusi Sampel Training
Gambar 2. Distribusi jumlah sampel per kelas. Garis merah putus-putus menunjukkan ambang batas minimum 30 titik (Lillesand et al., 2015).
02 · Feature Engineering
Band Spektral & Indeks

Setiap piksel direpresentasikan oleh 106 fitur, yang terdiri dari:

Band Spektral Sentinel-2 (6 tanggal × 11 band)

B2 Blue B3 Green B4 Red B5 Red Edge 1 B6 Red Edge 2 B7 Red Edge 3 B8 NIR B8A Red Edge 4 B11 SWIR 1 B12 SWIR 2
6 tanggal komposit: 2023-05-29 2023-08-17 2023-09-21 2023-09-26 2023-11-05 2025-05-28

Tanggal 2025 dikumpulkan saat musim kering untuk validasi perubahan lahan.

Indeks Spektral (5 indeks × 6 tanggal + terrain)

  • NDVI — Normalized Difference Vegetation Index
  • NDWI — Normalized Difference Water Index
  • MNDWI — Modified NDWI (for open water)
  • NDBI — Normalized Difference Built-up Index
  • EVI — Enhanced Vegetation Index

Terrain Features (DEMNAS 10m)

  • Elevation — Ketinggian (m)
  • Slope — Kemiringan lereng (°)
  • Aspect — Arah hadap lereng
  • TWI — Topographic Wetness Index
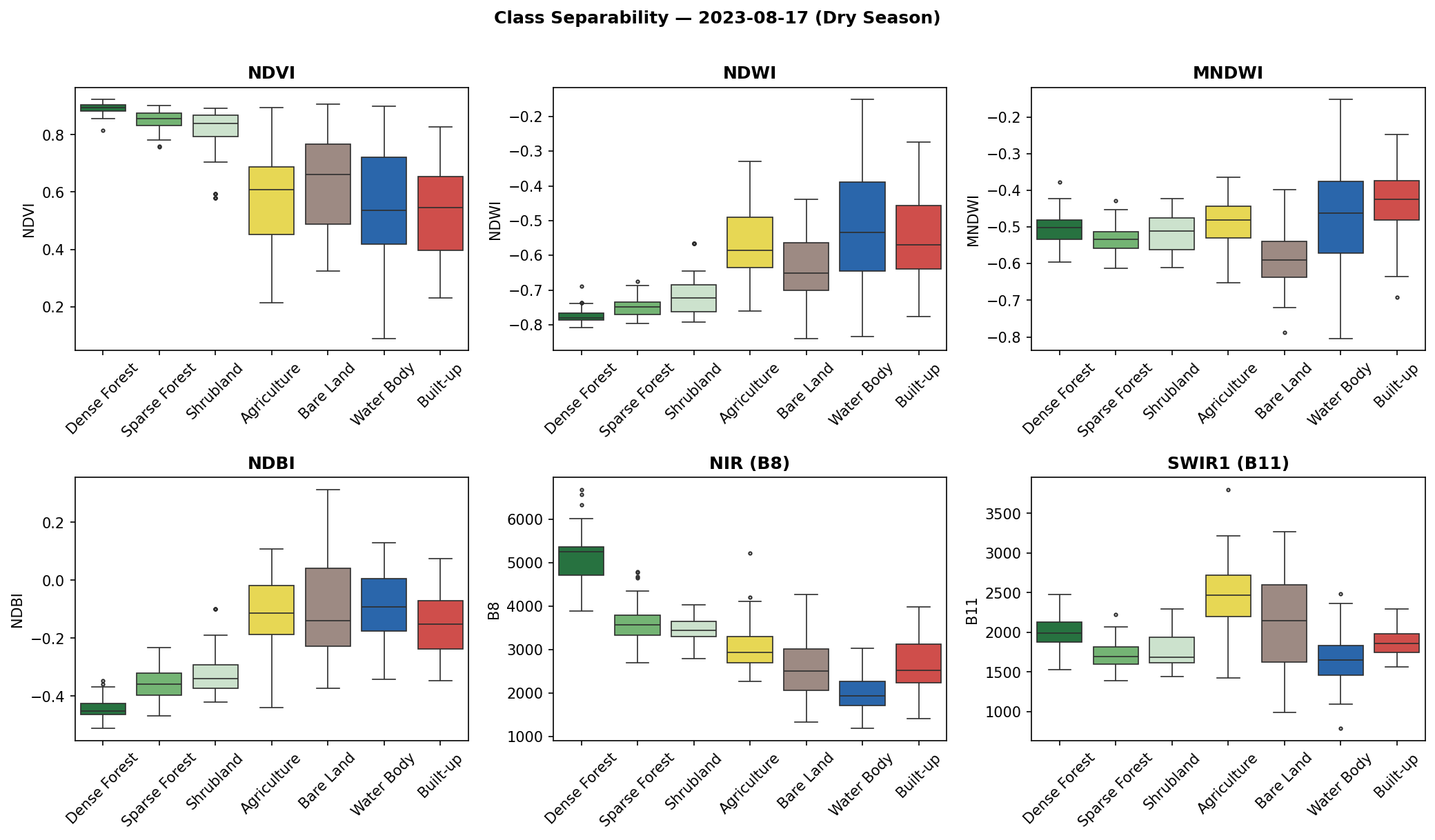
Class Separability
Gambar 3. Boxplot separabilitas kelas berdasarkan indeks spektral kunci (NDVI, NDWI, MNDWI, NDBI, NIR B8, SWIR1 B11) pada komposit kering 2023.
Jeffries-Matusita
Gambar 4. Matriks Jarak Jeffries-Matusita antar kelas (0=sama, 2=terpisah sempurna). Nilai <1.0 menunjukkan pasangan kelas yang sulit dipisahkan secara spektral.
03 · Klasifikasi
Random Forest

Supervised Random Forest dijalankan pada platform Google Earth Engine. Reference composite dari musim kering 2023 (Jun–Nov) digunakan sebagai dasar pelatihan karena tutupan awan minimal, kemudian model diterapkan pada komposit bulanan target.

1

Composite Musim Kering 2023 (Jun–Nov)

Citra Sentinel-2 Level-2A SR (COPERNICUS/S2_SR_HARMONIZED) difilter, di-cloud-mask dengan SCL band, lalu di-composite menggunakan median reducer.

2

Ekstraksi Nilai Spektral di Titik Training

15 band spektral + 5 indeks dihitung di setiap titik training dari reference composite. Terrain features (DEMNAS 10m) diekstraksi secara terpisah.

3

Pelatihan Random Forest

n_estimators = 200 max_features = sqrt min_samples_leaf = 2 class_weight = balanced seed = 42

4

Klasifikasi Komposit Bulanan

Model RF diterapkan pada komposit Sentinel-2 bulanan target. AOI menggunakan Grid_KHDTK (12 plot monitoring) untuk valid_pixel_pct dan box_khdtk untuk klasifikasi raster penuh.

5

Remap 8 → 5 Kelas Display

Hasil klasifikasi RF (8 kelas) di-remap ke 5 kelas tampilan untuk konsistensi dengan statistik grid dan peta.

04 · Validasi
Akurasi & Metrik Statistik
88.3% Overall Accuracy (5-fold CV)
0.847 Kappa Coefficient
86.5–90.2% Bootstrap 95% CI (OA)
Spatial Block CV
Gambar 5. Spatial Block Cross-Validation — 5 blok spasial, mencegah spatial autocorrelation antar fold.
Confusion Matrix
Gambar 6. Confusion Matrix 5-fold CV — menunjukkan sebaran prediksi vs aktual per kelas. Angka dalam kurung adalah persentase dari total kelas aktual.
PA/UA
Gambar 7. Producer's Accuracy (Sensitivity) dan User's Accuracy (Precision) per kelas LULC.
Olofsson
Gambar 8. Area-Adjusted Accuracy (Olofsson et al., 2014) — akurasi yang disesuaikan dengan luas area setiap kelas.
Bootstrap CI
Gambar 9. Bootstrap 95% Confidence Interval untuk Overall Accuracy dan Kappa Coefficient (1.000 iterasi bootstrap).
Feature Importance
Gambar 10. Top 20 Feature Importance (Gini Impurity) — indeks spektral dan SWIR band merupakan fitur paling diskriminatif untuk pemisahan kelas.
05 · Perubahan Lahan
Analisis Perubahan 2023 → 2025

Peta LULC dari musim kering 2023 dan 2025 dikomparasi secara piksel untuk menghasilkan matriks perubahan tutupan lahan. Hanya piksel valid di kedua tanggal yang dianalisis.

Change Matrix
Gambar 11. Matriks Perubahan Lahan KHDTK UNISMUH 2023 → 2025 (dalam Hektar). Baris = kelas asal, Kolom = kelas tujuan. Nilai diagonal = area yang tetap.